Ersatzschaltbild des Kondensators

Bild 8 zeigt das Ersatzschaltbild des technischen Kondensators. Die Abweichungen vom idealen Verhalten sind bedingt durch die Induktivität und den Widerstand der Zuleitungen und der Elektroden, durch die Induktivität des Kondensatoraufbaus sowie durch weitere Verlustkomponenten wie Dipolumlagerungen und Ionenleitung im Dielektrikum und den Isolationswiderstand des Dielektrikums.
Mit der Abgleichbrücke können nur die Elemente der vereinfachten Ersatzschaltung mit Wirkelement Rr und Blindelement Cr in Reihe bzw. der vereinfachten Parallelschaltung mit Wirkelement Rp und Blindelement Cp bestimmt werden.
Wie bekannt, kann für eine bestimmte Frequenz die Reihenschaltung in eine äquivalente Parallelschaltung und umgekehrt umgerechnet werden.
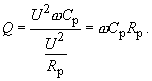
Eine wichtige Größe zur Kennzeichnung des Verhaltens des Kondensators in der Schaltung ist die Güte (oder der Gütefaktor) Q. Analog zu Gleichung (5) gilt für die Reihenschaltung

(6)
und für die Parallelschaltung
(7)
Damit bestimmt auch die Einsatzfrequenz, ob sich das Bauelement in der Schaltung dominant kapazitiv (Q > 1) oder dominant ohmsch (Q < 1) verhält.
Die Abweichung vom idealen Verhalten wird auch durch den Verlustwinkel δ und den Verlustfaktor tanδ angegeben.
Für die Reihenschaltung (Bild 9) gilt:
(8)
für die Parallelschaltung (Bild 10) erhält man
(9)